EU va ahora por los hijos de "El Chapo" Guzmán por conspiración para distribuir cocaína, metanfetamina y mariguana

+ Seguir en Seguir en Google
Nacional
/ 22 febrero 2019

Al menos desde 2017 el Departamento de Justicia de Estados Unidos abrió una indagatoria contra Joaquín y Ovidio Guzmán López

Tras lograr que Joaquín "El Chapo" Guzmán fuera declarado culpable de 10 cargos criminales, el gobierno de Estados Unidos dio a conocer que mantiene una acusación contra sus hijos Joaquín Guzmán López, "Güero Moreno", y Ovidio Guzmán López, "Ratón Nuevo", por conspiración para distribuir cocaína, metanfetamina y marihuana.

El asistente del Fiscal General Brian A. Benczkowski de la División de lo Penal del Departamento de Justicia y el agente especial a cargo Scott Brown de la Oficina de Campo de Arizona de las Oficinas de Inmigración y Control de Aduanas de los Estados Unidos realizaron el anuncio.

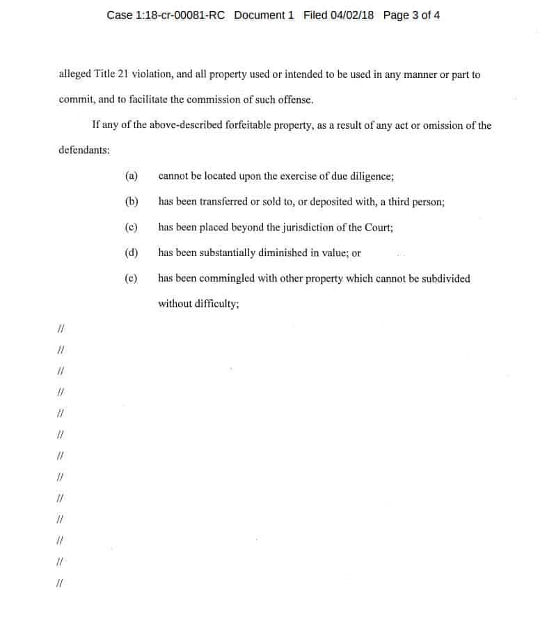
Joaquín Guzmán López, de 34 años, y Ovidio Guzmán López, de 28 años, están acusados formalmente de que alrededor de abril de 2008 conspiraron para distribuir cocaína, metanfetamina y marihuanadesde México y otros lugares para su introducción a Estados UnidosEste caso está asignado al Juez de Distrito Rudolph Contreras.

 

De acuerdo con la fiscalía, los acusados estuvieron implicados en la distribución de 5 kilos o más de cocaína, 500 gramos o más de metanfetamina y 1000 kilogramos o más de marihuana.

El caso fue investigado por el Departamento de Seguridad Interna. Este caso también es el resultado de los esfuerzos continuos de las Fuerzas de Tareas de Control de Drogas contra el Crimen Organizado (OCDETF, por sus siglas en inglés), una asociación que reúne la experiencia combinada y las habilidades únicas de las agencias federales, estatales y locales.

La misión principal del programa OCDETF es identificar, interrumpir, desmantelar y procesar a miembros de alto nivel de organizaciones y empresas de tráfico de drogas, tráfico de armas y lavado de dinero.

Diario dedicado a la información y análisis que rompen los viejos esquemas de la política, noticias e historias de lo que pasa en México y el mundo al momento.

Selección de los editores